Simetria o Sesgo
Es una forma de distribución que permite identificar la manera como los datos tiende a reunirse de acuerdo con la frecuencia con que se hallen dentro de la distribución.
Las medidas de asimetría son indicadores que permiten establecer el grado de simetría que presentan una distribución de probabilidad de una variable aleatoria sin tener que hacer su representación gráfica.
Como eje de simetría consideramos una recta paralela al eje ordenadas que pasa por la media de la distribución. Si una distribución es simétrica, existe el mismo número de valores a la derecha que a la izquierda de la media, por lo tanto, el mismo número de desviación con signo positivo que con signo negativo.
Tipos de asimetría:
Las medidas de asimetría son indicadores que permiten establecer el grado de simetría que presentan una distribución de probabilidad de una variable aleatoria sin tener que hacer su representación gráfica.
Como eje de simetría consideramos una recta paralela al eje ordenadas que pasa por la media de la distribución. Si una distribución es simétrica, existe el mismo número de valores a la derecha que a la izquierda de la media, por lo tanto, el mismo número de desviación con signo positivo que con signo negativo.
Tipos de asimetría:
- Asimetría negativa o a la izquierda: se da de acuerdo a una distribución la minoría de los datos está en la parte izquierda de la media. Este tipo de distribución presenta un alargamiento o sesgo hacia la izquierda, es decir, la distribución de los datos tiene a la izquierda una cola más larga que a la derecha. También se dice que una distribución es simétrica a la izquierda o tiene sesgo negativo cuando el valor de media aritmética es menor que la mediana y este valor de la mediana y este valor de la mediana a su vez es menor que la moda.
- Simétrica: se da cuando en una distribución se distribuyen aproximadamente la misma cantidad de los datos a ambos lados de la media aritmética. No tiene alargamiento o sesgo.
- Asimetría positiva o a la derecha: se da cuando en una distribución la minoría de los datos está en la parte derecha de la media aritmética. Este tipo de distribución de los datos tiene a la derecha una cola más larga que a la izquierda.
Curtosis
Las curtosis tratan de estudiar la proporción de la varianza que se explica por la combinación de datos extremos respecto a la media en contraposición con datos poco alejados de la misma.
Una mayor curtosis implica una mayor concentración de datos muy cerca de la media de la distribución coexistiendo al mismo tiempo con una relativamente elevada frecuencia de datos muy alejados de la misma. Esto explica una forma de la distribución de frecuencia con colas muy elevadas y con un centro muy apuntado.
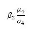
El coeficiente de apuntamiento de uso más extendido es el basado en el cuarto momento con respecto a la media
donde:
es el 4° momento centrado o con respecto a la media o σ es la desviación estándar.
El coeficiente de curtosis es una distribución respecto de un estándar. Este estándar es una forma acampanada denominada "normal", y corresponde a una curva de gran importancia en estadística.
El coeficiente de curtosis está definido por:
De acuerdo a su valor, la "puntudez" de los datos puede clasificarse en tres grupos:
- Leptocúrticos: con valores grandes par ˂ el coeficiente.
- Mesocurticos: con valores grandes para el coeficiente.
- Platicurticos: con valores pequeños para el coeficiente.
En la curtosis la detección de la normalidad es un conjunto de datos en combinación con las medidas de asimetría. Es igualmente una excelente manera para detectar la existencia de datos atípicos. Debe verificarse en las pruebas de igualdad de varianza y en todas pruebas que se requieren la normalidad que se verifique al menos de manera aproximada esta propiedad.
No hay comentarios:
Publicar un comentario